СДЕЛАЙТЕ СВОИ УРОКИ ЕЩЁ ЭФФЕКТИВНЕЕ, А ЖИЗНЬ СВОБОДНЕЕ

Благодаря готовым учебным материалам для работы в классе и дистанционно

Скидки до 50 % на комплекты
только до

Готовые ключевые этапы урока всегда будут у вас под рукой

Организационный момент

Проверка знаний

Объяснение материала

Закрепление изученного

Итоги урока

Определенный интеграл. Вычисление определенного интеграла. Формула Ньютона-Лейбница Геометрическое приложение определенного интеграла. Решение задач

Категория: Математика

Нажмите, чтобы узнать подробности

Инструкционная карта предназначена для выполнения практической работы по теме: "Определенный интеграл. Вычисление определенного интеграла. Формула Ньютона-Лейбница Геометрическое приложение определенного интеграла. Решение задач" по дисциплине "Математика" для студентов 2-го курса

Просмотр содержимого документа
«Определенный интеграл. Вычисление определенного интеграла. Формула Ньютона-Лейбница Геометрическое приложение определенного интеграла. Решение задач»

ОГБПОУ «НОВГОРОДСКИЙ АГРОТЕХНИЧЕСКИЙ ТЕХНИКУМ»

Инструкционная карта на выполнение

Практического занятия № 7 по дисциплине

«Математика»

Тема: Определенный интеграл

Наименование работы:. Вычисление определенного интеграла. Формула Ньютона-Лейбница

Геометрическое приложение определенного интеграла. Решение задач

Наименование объектов контроля и оценки

Основные показатели оценки результата

Умения: Решать прикладные задачи в области профессиональной деятельности.

Знания: Основные математические методы решения прикладных задач в области профессиональной деятельности;

Основы интегрального и дифференциального исчисления

Оценка результатов выполнения практических работ




Норма времени: 4 часа;

Условия выполнения: учебный кабинет;

Оснащение рабочего места: инструкционная карта, калькулятор

Правила по технике безопасности: С правилами техники безопасности на рабочем месте ознакомлены;

Литература: Хрипунова М.Б. Высшая математика. Учебник и практикум для спо М.:Юрайт.2018г.-474с

Уровни усвоения: 1 – 4 задания – 2 уровень

Домашнее, самостоятельное задание – 3 уровень


Теоретическая часть.

  1. Определенный интеграл.

Определение. Если )+C – первообразная функция для f(x), то приращение F(b) – F(a) первообразных функций при изменении аргумента х от х = а до х = b называется определенным интегралом и обозначается символом


- формула Ньютона-Лейбница


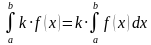
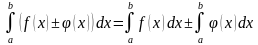
Свойства определенного интеграла:




Примеры. Вычислить определенные интегралы:



Сделаем замену переменной: Тогда , Отсюда

Подставляем все в интеграл.


  1. Геометрическое приложение определенного интеграла


Площадь криволинейной трапеции, ограниченная сверху графиком функции , снизу осью Ох, слева и справа прямыми х=a и х=b, выражается определенным интегралом


Для трапеции, лежащей под осью Ох,


Если криволинейная трапеция ограничена графиками кривых


Пример. Найти площадь, ограниченную параболой


Решение.


Найдем абсциссы точек пересечения прямой и параболы , решая совместно эти уравнения.


Подставляя второе уравнение в первое, получаем

Решая это уравнение, получаем . Тогда





Практическая часть.


  1. Вычислить определенные интегралы:

а) б) в)


г) д) е)


ж) з)


  1. Найти площадь, ограниченную параболами


  1. Найти площадь фигуры, ограниченной линиями







Домашнее задание:


  1. Вычислить определенные интегралы:

а) б) в)


  1. Найти площадь фигуры, ограниченной линиями



Самостоятельная работа:

1 вариант.

  1. Вычислить определенный интеграл:

  2. Найти площадь фигуры, ограниченной линиями




2 вариант.

  1. Вычислить определенный интеграл:

  2. Найти площадь фигуры, ограниченной линиями




Критерии оценки:


«5» - Правильно решены 2 задания. Допустима одна вычислительная ошибка.

«4» - Правильно решено 2 задания, есть две вычислительные ошибки

«3» - Правильно решено 1 задание.

«2» - Одно задание выполнено, но с ошибками; либо не выполнено ничего