Дата:02.10.2017
Тема урока: «Разветвляющийся алгоритм»
Тип урока: изучение нового материала
Цели урока: расширить знания уч-ся об алгоритме;
Знать: базовую алгоритмическую структуры «Ветвление», полной и неполной формах;
Уметь: решать задачи разветвляющейся структуры на алгоритмическом языке, с помощью блок-схем; строить блок-схемы и делать ее отладку;
- развитие навыков самостоятельной работы уч-ся
Оборудование: презентация «Разветвляющийся алгоритм», -схема», проектор
Ход урока
I
. ОРГМОМЕНТ
II. АКТУАЛИЗАЦИЯ ОПОРНЫХ ЗНАНИЙ
1. Практическое задание у доски (1 уч-ся)
Задание : Исправь ошибки.
Найдите площадь прямоугольного треугольника с катетами Х и Y.
АЛГ площадь (цел X , Y, вещ S)
АРГ X
РЕЗ Y
НАЧ
S = X * Y : 2
КОН
2. Фронтальный опрос теории
ВОПРОСЫ: 1) Что такое алгоритм?
2) Дайте определение величины
3) Что называют типом величины?
4) Какие типы величин вам известны?
5) Что такое команда?
6) На какие виды делятся команды?
7) Приведите пример простой команды. Составной команды.
8) В чем основное отличие простой команды от составной?
III. Сообщение темы , цели урока
1. Вступительное слово учителя.
Каждый день, совершая определенные действия, мы выполняем какой-либо алгоритм. Линейный алгоритм: заваривание чая, приготовление бутерброда и т.д.
К сожалению, в жизни линейные алгоритмы встречаются довольно редко. Всегда появляются какие-нибудь условия, которые изменяют алгоритм.
Например: вы умываетесь, чистите зубы и вдруг перестала идти вода или закончилась паста. Утром мы всегда смотрим в окно, наблюдаем за погодой: если идет дождь, то надо взять зонт, если столбик термометра опустился вниз, то нужно одеть куртку. И такие условия встречаются в нашей жизни довольно часто.
Находясь на развилке двух ( и более) дорог, русский богатырь выберет только одну в зависимости от своей цели и некоторого условия, написанного на камне.
Таким образом, появляется новый вид алгоритма, который называется разветвляющимся или проще говоря развилкой.
2. Сообщение темы и цели урока
IV. ИЗУЧЕНИЕ НОВОГО МАТЕРИАЛА
1. Понятие ветвления
Составной называется команда, содержащая условие. Одной из составных команд является команда ветвления
Ветвление - это такая форма организации действий, при которой в зависимости от выполнения (невыполнения) некоторого условия совершается либо одна, либо другая последовательность действий.
Команду ветвления называют также развилкой, так как в зависимости от условия исполнитель выполнит либо одну либо другую команду. (либо пойдет налево или направо)
2. Формы ветвления
Различают полную и неполную формы ветвления.
П
Пояснение: Если условие верно(истинно), то исполнитель выполнит команду серия 1 после служебного слова то.
Если условие неверно (ложно), то исполнитель выполнит команду серия 2 после служебного слова иначе
олное ветвление:
если
то серия 1
иначе серия 2
всё

НАПРИМЕР, найти значение функции У :
Решим задачу с помощью координатной прямой.
Вывод: условием является выражение X
Запись на алгоритмическом языке:
если х
то y := 3*x
иначе y :=1/ x
всё
Полной форме ветвления соответствует следующая блок-схема:
Пояснение:
Если условие верно, то исполнитель пойдет по ветви ДА и выполнит команду серия 1
Если условие неверно, то исполнитель пойдет по ветви НЕТ и выполнит команду серия 2
Н
Пояснение: Если условие верно(истинно), то исполнитель выполнит команду серия 1 после служебного слова то.
Если условие неверно (ложно), то исполнитель выполнит следующую команду алгоритма
еполное ветвление:
если
то серия 1
всё
НАПРИМЕР, y=3*x, при х
Запись на алгоритмическом языке:
если х
то y := 3*x
всё
Неполному ветвлению соответствует блок-схема
Пояснение:
Если условие верно, то исполнитель пойдет по ветви ДА и выполнит команду серия 1
Если условие неверно, то исполнитель пойдет по ветви НЕТ к следующей команде алгоритма
3. Вывод:
Структура «Ветвление» обеспечивает выполнение одной из серий команд в зависимости от результата проверки истинности условия.
4. Определение разветвляющегося алгоритма
В настоящее время существует несколько определений разветвляющегося алгоритма.
ОПРЕДЕЛЕНИЕ1. Алгоритм, содержащий структуру ветвления, называется разветвляющимся
ОПРЕДЕЛЕНИЕ 2. Разветвляющимся называется алгоритм, в котором в зависимости от условия выполняется либо одна, либо другая последовательность действий
I
V. ЗАКРЕПЛЕНИЕ ИЗУЧЕННОГО МАТЕРИАЛА
1.Устные задачи
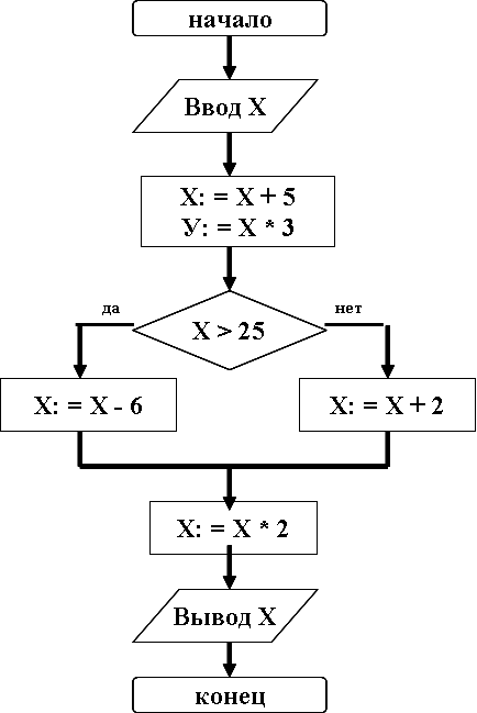
Задача 1. Введено число 15.
Какое значение получится в результате выполнения алгоритма?
ОТВЕТ: 108
Задача 2. Введено число 1.
Какое значение получится в результате выполнения алгоритма?
ОТВЕТ : 40
2. Решение задач
Задача 1. Найдите наибольшее среди двух целых чисел а,b
1. Постановка задачи:
дано: a,b
найти: c
2. Условие задачи: ab
3. Алгоритмическая запись:
алг наибольшее(цел а, b, с)
арг а,b
рез с
нач
если аb
то c := a
иначе c :=b
всё
кон

Задача 2. Найдите значение функции
Постановка задачи:
дано: Х
найти: F
2. Условие задачи: X = 0
3. Алгоритмическая запись:
алг F (вещ x,F)
арг x
рез F
нач
если х0
то F := x*x-3
всё
кон
V. ПРАКТИЧЕСКАЯ ЧАСТЬ
1.Самостоятельная работа
Задание 1. Составить блок-схему к задаче № 1
Открыть программу Блок-схема
Блок-схема – новая блок-схема- разработка
Составление блок-схемы
Отладка блок-схемы
Запись в тетрадь
Задание 2. Составить блок-схему к задаче №2
2. Проверка самостоятельной работы
VI. ПОДВЕДЕНИЕ ИТОГОВ УРОКА
1
.Устное задание:
Найди соответствие
АЛГ наименьшее ( вещ А,В,М)
АРГ А , В
РЕЗ М
НАЧ
ЕСЛИ А
ТО М : = А
ИНАЧЕ М : = В
ВСЕ
КОН
Ответ : схема 2
2. ВОПРОСЫ:
-Какой алгоритм называется разветвляющимся?
- Назовите формы ветвления.
- В чем отличие полного ветвления от неполного?
- В чем сходство?
VII. ДОМАШНЕЕ ЗАДАНИЕ
Ветвление полная и неполная формы
З
адача :
4