СДЕЛАЙТЕ СВОИ УРОКИ ЕЩЁ ЭФФЕКТИВНЕЕ, А ЖИЗНЬ СВОБОДНЕЕ

Благодаря готовым учебным материалам для работы в классе и дистанционно

Скидки до 50 % на комплекты
только до

Готовые ключевые этапы урока всегда будут у вас под рукой

Организационный момент

Проверка знаний

Объяснение материала

Закрепление изученного

Итоги урока

Вариант №1 (ОГЭ по математике)

Внимание! Все тесты в этом разделе разработаны пользователями сайта для собственного использования. Администрация сайта не проверяет возможные ошибки, которые могут встретиться в тестах.
Вариант составлен из заданий ОГЭ из сайта РЕШУ ОГЭ

Список вопросов теста

Вопрос 1

Вопрос 2

Вопрос 3

Вопрос 4

Вопрос 5

Вопрос 6

Вопрос 7

Вопрос 8

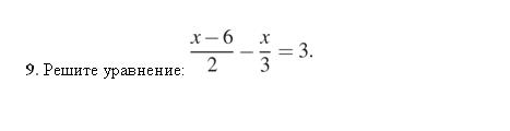
Вопрос 9

Вопрос 10

Вопрос 11

Вопрос 12

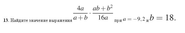
Вопрос 13

Вопрос 14

Вопрос 15

Вопрос 16

Вопрос 17

Вопрос 18

Вопрос 19

Вопрос 20

Сохранить у себя: