СДЕЛАЙТЕ СВОИ УРОКИ ЕЩЁ ЭФФЕКТИВНЕЕ, А ЖИЗНЬ СВОБОДНЕЕ

Благодаря готовым учебным материалам для работы в классе и дистанционно

Скидки до 50 % на комплекты
только до

Готовые ключевые этапы урока всегда будут у вас под рукой

Организационный момент

Проверка знаний

Объяснение материала

Закрепление изученного

Итоги урока

Решение неравенств, содержащих переменную второй степени

Категория: Математика

Нажмите, чтобы узнать подробности

Алгоритм решению неравенств, содержащих переменную второй степени.

Целевая аудитория - 9 класс для детей с ОВЗ ( для учащихся общеобразовательных классов). Использование на уроке изучения нового материала и при подготовке к ГВЭ.

Подробный алгоритм, для использования на уроках алгебры обучающихся с ограниченными возможностями здоровья. Регулярное использование алгоритма позволит сформировать навык решения неравенств, содержащих переменную второй степени.

Просмотр содержимого документа
«Решение неравенств, содержащих переменную второй степени»

«Решение неравенств с переменной второй степени»



  1. Рассмотреть функцию

  2. Находим точки пересечения параболы с осью

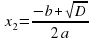
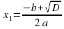
  1. Получили квадратное уравнение. Выпишем коэффициенты:

Находим дискриминант   . Далее следует один из трех возможных вариантов:

Если , то парабола пересекает ось в двух точках. Найдем их координаты



Если , то наша парабола пересекает ось только в одной точке .

Если то наша парабола не пересекает ось .


  1. Рисунем луч.

  2. На луче отмечаем точки (если они есть).

    Незакрашенную , если неравенство строгое (,)

    Закрашенную , если неравенство нестрогое (,)

  3. Определяем куда идут ветви параболы (если a0, то ветви вверх, если a

  4. Схематически изображаем параболу.

  5. Нарисуйте штриховкой нужные промежутки.

- Если неравенство имеет знак или , то штриховкой отмечаем ту часть лучше, где парабола выше

- Если неравенство имеет знак или , то штриховкой отмечаем ту часть лучше, где парабола ниже



  1. Описываем заштрихованный промежуток слева направо.

- Около не закрашенной точки ставим круглую точку;

- Около закрашенной точки ставим квадратную скобку;

- Около бесконечности всегда круглая скобка.