СДЕЛАЙТЕ СВОИ УРОКИ ЕЩЁ ЭФФЕКТИВНЕЕ, А ЖИЗНЬ СВОБОДНЕЕ

Благодаря готовым учебным материалам для работы в классе и дистанционно

Скидки до 50 % на комплекты
только до

Готовые ключевые этапы урока всегда будут у вас под рукой

Организационный момент

Проверка знаний

Объяснение материала

Закрепление изученного

Итоги урока

Презентация к уроку "Логарифмические выражения"

Категория: Математика

Нажмите, чтобы узнать подробности

презентация к уроку

Просмотр содержимого документа
«Презентация к уроку "Логарифмические выражения"»

Урок алгебры в 10 классе «Логарифмы, преобразования логарифмических выражений . Учитель математики: Сайфулина Т.А. 7

Урок алгебры в 10 классе «Логарифмы, преобразования логарифмических выражений .

Учитель математики: Сайфулина Т.А.

7

    Мало иметь хороший ум, главное – научиться хорошо его применять».   Рене Декард

Мало иметь хороший ум, главное – научиться хорошо его применять». Рене Декард

Кроссворд 1 5 2 3 6 7 4 8 Ь О Л Н Е Р О К Ь Н Г Л А Б А Р Е Н В У Н Р А И Е Е П П Я И Ц О Р О Р М Д Т Н А И И И Р С К Н Ф О Г А Р И К М И Ч Е С А Я Л М У Т Н Е Р Г А

Кроссворд

1

5

2

3

6

7

4

8

Ь

О

Л

Н

Е

Р

О

К

Ь

Н

Г

Л

А

Б

А

Р

Е

Н

В

У

Н

Р

А

И

Е

Е

П

П

Я

И

Ц

О

Р

О

Р

М

Д

Т

Н

А

И

И

И

Р

С

К

Н

Ф

О

Г

А

Р

И

К

М

И

Ч

Е

С

А

Я

Л

М

У

Т

Н

Е

Р

Г

А

Логарифмы, ПРЕОБРАЗОВАНИЯ  ЛОГАРИФМИЧЕСКИХ ВЫРАЖЕНИЙ

Логарифмы,

ПРЕОБРАЗОВАНИЯ

ЛОГАРИФМИЧЕСКИХ ВЫРАЖЕНИЙ

0 , а0 , а≠1 ). " width="640"

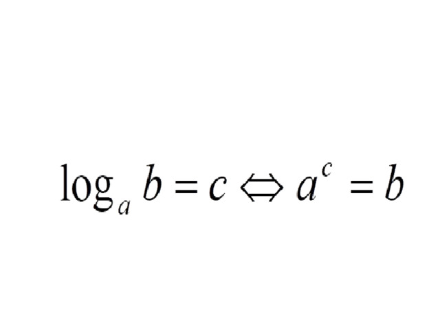
Определение логарифма

Логарифмом числа b по основанию a называется показатель степени, в которую нужно возвести основание a , чтобы получить b (где b0 , а0 , а≠1 ).

Десятичные логарифмы Если основание логарифма равно 10 , то логарифм называется десятичным: Натуральные логарифмы Если основание логарифма е, то логарифм называется натуральным:

Десятичные логарифмы

  • Если основание логарифма равно 10 , то логарифм называется десятичным:

Натуральные логарифмы

  • Если основание логарифма е, то логарифм называется натуральным:
Гимназия № 8 Вычислите устно: Гимназия  № 8  Сочи  Чернорбабова К.В.

Гимназия № 8

Вычислите устно:

Гимназия № 8

Сочи

Чернорбабова К.В.

Основное логарифмическое тождество b log = a b а

Основное логарифмическое

тождество

b

log

=

a b

а

Самостоятельная работа  КАРТОЧКА №1 Критерии оценки: 0 - 4 «2» 5 – 7 «3» 8,9 - «4» 10 – «5»

Самостоятельная работа КАРТОЧКА №1

Критерии оценки:

0 - 4 «2»

5 – 7 «3»

8,9 - «4»

10 – «5»

Ответы: 1) 3 Критерии оценки: 2) – 1 0 - 4 «2» 3) 0 4) 2 5 – 7 «3» 5) 4 8,9 - «4» 6) – 3 10 – «5» 7) 224 8) 18 9) 2 10) 3

Ответы:

1) 3

Критерии оценки:

2) – 1

0 - 4 «2»

3) 0

4) 2

5 – 7 «3»

5) 4

8,9 - «4»

6) – 3

10 – «5»

7) 224

8) 18

9) 2

10) 3

Свойства логарифмов

Свойства логарифмов

log a b + log a с = log a (bс)  log a b - log a с = log a (b/c)   1) log 6 2 + log 6 3 = 2) log 2 15 - log 2 30 = 3) log 2 5 - log 2 35 + log 2 56 =

log a b + log a с = log a (bс) log a b - log a с = log a (b/c)

1) log 6 2 + log 6 3 =

2) log 2 15 - log 2 30 =

3) log 2 5 - log 2 35 + log 2 56 =

a log b C = log b C a    4) log 2 0,04 + 2 log 2 5 = 0,5 log 2 400 + log 2 1,6 = 6)

a log b C = log b C a

4) log 2 0,04 + 2 log 2 5 =

  • 0,5 log 2 400 + log 2 1,6 =

6)

АРХАР (РОГА) РАКУШКА па ПАУТИНА ТЕЛО ЦИКЛОНА

АРХАР (РОГА)

РАКУШКА

па ПАУТИНА

ТЕЛО ЦИКЛОНА

Логарифмическая линейка

Логарифмическая линейка

Логарифмическая спираль Уравнение этой спирали , где г - расстояние от произвольной точки М на спирали до выбранной точки О, φ - угол между лучом ОМ и выбранным лучом Ох, а и k — постоянные. Решая его, получим Так как это уравнение связано с логарифмической функцией, то вычисленную по этой формуле спираль называют логарифмической.

Логарифмическая спираль

Уравнение этой спирали

, где г - расстояние от произвольной точки М на спирали до выбранной точки О, φ - угол между лучом ОМ и выбранным лучом Ох, а и k — постоянные. Решая его, получим

Так как это уравнение связано с логарифмической функцией, то вычисленную по этой формуле спираль называют логарифмической.

Один из наиболее распространённых пауков, эпейра, сплетая паутину, закручивает нити вокруг центра по логарифмической спирали 13

Один из наиболее распространённых пауков, эпейра, сплетая паутину, закручивает нити вокруг центра по логарифмической спирали

13

По логарифмической спирали формируется и тело циклона

По логарифмической спирали формируется и тело циклона

По логарифмическим спиралям закручены и многие галактики, в частности, Галактика, которой принадлежит Солнечная система. 7

По логарифмическим спиралям закручены и многие галактики, в частности, Галактика, которой принадлежит Солнечная система.

7

Логарифмы в музыке «… Даже изящные искусства питаются ею Разве музыкальная гамма не есть - Набор передовых логарифмов?» Из «Оды экспоненте» А.А. Эйхенвальд

Логарифмы в музыке

«… Даже изящные искусства питаются ею

Разве музыкальная гамма не есть -

Набор передовых логарифмов?»

Из «Оды экспоненте»

А.А. Эйхенвальд

Письменная работа. Выдаётся карточки с разноуровневыми заданиями на преобразование логарифмических выражений (из открытого банка заданий ЕГЭ). КАРТОЧКА №3

Письменная работа.

  • Выдаётся карточки с разноуровневыми заданиями на преобразование логарифмических выражений (из открытого банка заданий ЕГЭ).

КАРТОЧКА №3

 Рефлексия

Рефлексия

Домашняя работа. карточка №4 Уровень А Уровень В

Домашняя работа.

карточка №4

Уровень А

Уровень В